문제
구름이는 도시의 물을 관리하는 관리자이다. 현재 도시에는 물을 잠시 보관하는 물탱크와 물탱크끼리 연결하는 수로가 아래의 조건으로 설치되어 있다.
●N개의 물탱크와 N개의 수로가 있다.
●물탱크는 1번부터 N번까지 있다.
●수로가 연결된 물탱크는 양 쪽으로 물이 흐른다.
●서로 다른 두 물탱크를 잇는 수로는 최대 하나이다.
●물탱크에서 연결된 물탱크는 항상 다른 물탱크이다.
●모든 물탱크는 연결되어 있다. 즉, 어떤 물탱크에서 임의의 다른 물탱크로 항상 물이 흐를 수 있다.
도시의 물은 흐르지 않으면 녹조류가 생기기 때문에, 항상 물이 순환하도록 유지하는 것이 중요하다.
하지만, 구름이는 순환하는 물이 항상 모든 물탱크를 지나지 않는다는 점을 확인했다. 구름이는 현재 상태의 수로를 확인하고, 순환하는 수로를 찾기로 한다. 이때 순환하는 수로란, 물탱크의 물이 아래의 조건을 만족하면서 끊임없이 순환해야 한다.
●모든 물탱크에는 물이 없는 상태에서 시작한다.
●최초의 하나의 물탱크를 선택하여, 물을 채우고 물탱크에 연결된 다른 물탱크에 물을 공급한다.
●다른 물탱크에 물을 공급하는 물탱크는 물이 모두 비워질 때까지, 다른 물탱크에 공급한다.
●순환하는 수로의 정의를 다음과 같이 정의하자. 어떤 물탱크에 있던 물이 특정한 수로들을 거쳐 다시 원래의 물탱크로 돌아올 때, 그 수로들의 집합을 순환하는 수로라 한다.
●순환하는 수로의 집합의 크기는 최소 3개 이상이어야 한다.
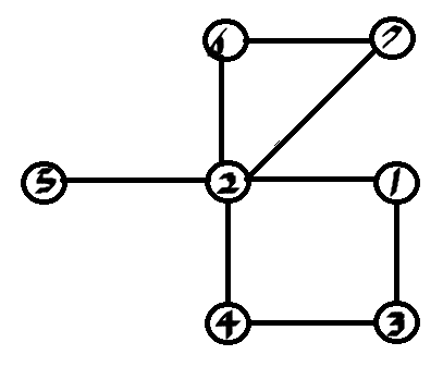
아래의 예시를 들어보자.

위의 예시에서 최초로 1번 물탱크에 물을 채우고, 다른 물탱크에 공급을 시작한다.
1번 물탱크에 연결되어 있는 다른 모든 물탱크에 물이 공급된다. 2번 물탱크에 물이 공급이 되면, 2번 물탱크는 물을 공급해준 1번 물탱크를 제외하고 3, 4번 물탱크에 물을 공급한다.
3번 물탱크의 물 흐름은 {3 > 4 > 2}, {5 > 3 > 4} 를 거친다. 5번 물탱크로 간 물은 다시 물을 공급해준 4번 물탱크로 올 수 없으며, 2번 물탱크는 물을 공급해준 4번과 1번 물탱크로 물을 공급할 수 없다.
4번 물 탱크의 물 흐름은 {4 > 2}, {5 > 3 > 4 > 3} 을 거친다.
물은 조건에 따라 흐르기 때문에, {2 > 3 > 4} 물 탱크만 흐르게 된다. 이를 보고 순환하는 수로라고 한다.
구름이가 도시의 물 탱크의 개수와 수로의 상태가 주어졌을 때, 가장 큰 순환하는 수로를 찾고, 수로의 집합의 크기와 번호를 오름차순으로 출력하시오. (단, 항상 순환하는 수로가 존재한다)

일단, 아래 두 부분에서 문제 흐름을 이해하지 못했다.
"3번 물탱크의 물 흐름은 {3 > 4 > 2}, {5 > 3 > 4} 를 거친다. "
"4번 물 탱크의 물 흐름은 {4 > 2}, {5 > 3 > 4 > 3}"
3과 5번 물탱크는 직접 연결되어 있지 않은데 어떻게 5 > 3의 흐름이 가능한지 이해할 수 없었다.
문제 자체를 이해할 수 없었기에 해설을 볼 수 밖에 없었다.
내 나름대로 주석을 달아가며 해설 코드를 아래와 같이 해석했다.
#include <iostream>
#include <vector>
#include <algorithm>
using namespace std;
int n, a, b, finded = -1, visited[10001];
vector<int> edge[10101], cycle;
void FindCycle(int cur, int prev) {
if (visited[cur] == 1) {
finded = cur;
cycle.push_back(cur);
return;
}
visited[cur] = 1;
for (auto next : edge[cur]) {
if (next == prev) //물을 공급해준 노드 방문 x
continue;
FindCycle(next, cur);
if (finded == -2)
return;
//찾은 싸이클의 주인이 자신이라면(순환의 시작과 끝이 자신인 경우)
//cycle에 자신을 두번 push하지 않기 위한 조건
if (finded == cur) {
finded = -2;
return;
}
if (finded >= 0) {
cycle.push_back(cur);
return;
}
}
}
int main() {
ios::sync_with_stdio(false); cin.tie(0); cout.tie(0);
cin >> n;
for (int i = 0; i < n; ++i) {
cin >> a >> b;
edge[a].push_back(b);
edge[b].push_back(a);
}
FindCycle(1, 1);
cout << cycle.size() << "\n";
sort(cycle.begin(), cycle.end());
for (auto i : cycle)
cout << i << " ";
return 0;
}
하지만, 분명 문제에서 "가장 큰 순환하는 수로를 찾고" 라는 부분이 있었고 위 코드대로 해당 조건을 만족하지 못하는 경우가 발생한다.
예시 1에 단 3개의 간선만을 추가해 아래와 같은 예시를 살펴보자
8
5 2
2 4
4 3
3 1
1 2
2 6
6 7
7 2

이 경우 1번 물탱크부터 공급을 시작한다고 할 때 찾을 수 있는 가장 큰 순환 수로의 물의 흐름을 살펴보자.
가능한 물의 흐름은 1 -> 3 -> 4 -> 2 -> 6 -> 7 -> 2 -> 1 이고 따라서 가장 큰 순환 수로는 {1, 2, 3, 4, 5, 6, 7}이 되어야 한다.
하지만 해설 코드로 위 예시를 진행하면 예시1) 과 동일하게 가장 큰 순환 수로로 {1, 2, 3, 4} 도출된다.
실제로 QA에 몇몇 사람들이 문제의 오류를 제시했고 논란이 많은 문제인 것 같다.
'Alrogithm > 구름(GOORM)' 카테고리의 다른 글
| [구름 알고리즘 먼데이 챌린지] Week4 : 2. 단풍나무 (0) | 2022.11.07 |
|---|---|
| [구름 알고리즘 먼데이 챌린지] Week4 : 1. 체크 카드 (0) | 2022.11.07 |
| [구름 알고리즘 먼데이 챌린지] Week3 : 3. 구름이의 여행 (2) | 2022.11.05 |
| [구름 알고리즘 먼데이 챌린지] Week3 : 2. 폴더 폰 자판 (2) | 2022.11.05 |
| [구름 알고리즘 먼데이 챌린지] Week3 : 1. 0커플 (2) | 2022.11.05 |
